Онлайн библиотека PLAM.RU


56. Тепловые излучения тел

Из всего многообразия электромагнитных излучений, видимых или невидимых человеческим глазом, можно выделить одно, которое присуще всем телам. Это излучение нагретых тел, или тепловое излучение. При тепловом излучении энергия переносится от одного тела к другому благодаря испусканию и поглощению электромагнитных волн. Тепловое излучение нагретых тел возникает при любых температурах, поэтому испускается всеми телами.

Равновесное (черное) излучение – это излучение, находящееся в термодинамическом равновесии с телами, имеющими определенную температуру. Абсолютно черное тело – это тело, которое полностью поглощает любое падающее на его поверхность электромагнитное излучение независимо от температуры тела.

Для абсолютно черного тела поглощательная способность (отношение поглощенной энергии к энергии падающего излучения) равна единице.

По своим характеристикам такое излучение подчиняется закону излучения Планка, определяющему ис-пускательную способность и энергетическую яркость абсолютно черного тела. Он высказал гипотезу, из которой следовало, что черное тело излучает и поглощает энергию не непрерывно, а определенными порциями, квантами.

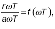
Закон Кирхгора устанавливает количественную связь между излучением и поглощением – при одинаковой плотности энергетической светимости к монохроматическому коэффициенту поглощения света для любых тел, в том числе и для черных. Закон Кирхгора устанавливает, что отношение испускательной спо56б собности r тела к его поглотительной способности абсолютно черного тела f(w, Т) при тех же значениях температуры и частоты:


где w – частота волны.

Закон Стефана-Больцмана: энергетическая интегральная светимость R (T) абсолютно черного тела пропорциональна четвертой степени абсолютной температуры:

R(T) = QT4.

Числовое значение постоянной Q, называемой постоянной Стефана-Больцмана, равна:


Закон смещения Випа – длина lm, на которую приходится максимум энергии излучения абсолютно черного тела, обратно пропорциональна абсолютной температуре Т.

Значение постоянной Випа 2,898 ? 10-3 ?К.

?К – постоянная Випа. Этот закон выполняется и для серых тел.

Проявление закона Випа известно из обыденных наблюдений. При комнатной температуре тепловое излучение тел в основном приходится на инфракрасную область и человеческим глазом не воспринимается. Если температура повышается, то тела начинают светиться темно-красным светом, а при очень высокой температуре – белым с голубоватым оттенком, возрастает ощущение нагретости тела.









Главная | Контакты | Нашёл ошибку | Прислать материал | Добавить в избранное

Все материалы представлены для ознакомления и принадлежат их авторам.