Онлайн библиотека PLAM.RU


31. Частные коэффициенты корреляции для модели множественной регрессии с тремя и более факторными переменными

Частные коэффициенты корреляции для модели множественной регрессии с тремя и более факторными переменными позволяют определить степень зависимости между результативной переменной и одной из факторных переменных при постоянстве остальных факторных переменных, включённых в модель.

Для модели множественной регрессии с тремя факторными переменными рассчитываются частные коэффициенты, как первого, так и второго порядка.

Общий вид модели трёхфакторной регрессии:

yi=?0+?1x1i+?2x2i+?3x3i+?i,

где yi – результативная переменная,

x1i – первая факторная переменная;

x2i – второй факторная переменная;

x3i – третья факторная переменная;

?0,?1,?2,?3 – неизвестные коэффициенты модели регрессии;

?i  – случайная ошибка модели регрессии.


Частные коэффициенты корреляции первого порядка для модели трёхфакторной регрессии строятся точно так же, как и для модели двухфакторной регрессии.

Частные коэффициенты корреляции второго порядка для модели трёхфакторной регрессии строятся следующим образом.

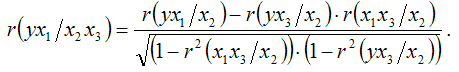
Частный коэффициент корреляции между результативной переменной у и факторной переменной х1 при постоянстве факторных переменных х2 и х3:

Частный коэффициент корреляции между результативной переменной у и факторной переменной х2 при постоянстве факторных переменных х1 и х3:

Частный коэффициент корреляции между результативной переменной у и факторной переменной х3 при постоянстве факторных переменных х1 и х1:

Частные коэффициенты корреляции второго порядка построены с использованием частных коэффициентов корреляции первого порядка.

Следовательно, частный коэффициент корреляции порядка t может быть построен через частный коэффициент корреляции (t-1) порядка. Формулы, построенные через указанную взаимосвязь, называются рекуррентными.

При анализе модели множественной регрессии с n факторными переменными, частный коэффициент корреляции (n-1) порядка рассчитывается по общей формуле:

Частные коэффициенты корреляции, вычисленные по рекуррентным формулам, изменяются в пределах от минус единицы до плюс единицы.









Главная | Контакты | Нашёл ошибку | Прислать материал | Добавить в избранное

Все материалы представлены для ознакомления и принадлежат их авторам.