|
||||
|
|
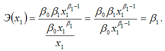
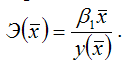
48. Коэффициенты эластичности Коэффициенты эластичности наряду с индексами корреляции и детерминации для нелинейных форм связи применяются для характеристики зависимости между результативной переменной и факторными переменными. С помощью коэффициентов эластичности можно оценить степень зависимости между переменными х и у. Коэффициент эластичности показывает, на сколько процентов изменится величина результативной переменной у, если величина факторной переменной изменится на 1 %. В общем случае коэффициент эластичности рассчитывается по формуле: ![]() где ![]() – первая производная результативной переменной у по факторной переменной x. Коэффициенты эластичности могут быть рассчитаны как средние и точечные коэффициенты. Средний коэффициент эластичности характеризует, на сколько процентов изменится результативная переменная у относительно своего среднего уровня ![]() если факторная переменная х изменится на 1 % относительного своего среднего уровня ![]() Общая формула для расчёта коэффициента эластичности для среднего значения ![]() факторной переменной х: ![]() где ![]() – значение функции у при среднем значении факторной переменной х. Для каждой из разновидностей нелинейных функций средние коэффициенты эластичности рассчитываются по индивидуальным формулам. Для линейной функции вида: yi=?0+?1xi, средний коэффициент эластичности определяется по формуле: ![]() Для полиномиальной функции второго порядка (параболической функции) вида: ![]() средний коэффициент эластичности определяется по формуле: ![]() Для показательной функции вида: ![]() средний коэффициент эластичности определяется по формуле: ![]() Для степенной функции вида: ![]() средний коэффициент эластичности определяется по формуле: ![]() Это единственная нелинейная функция, для которой средний коэффициент эластичности ![]() равен коэффициенту регрессии ?1. Точечные коэффициенты эластичности характеризуются тем, что эластичность функции зависит от заданного значения факторной переменной х1. Точечный коэффициент эластичности характеризует, на сколько процентов изменится результативная переменная у относительно своего значения в точке х1, если факторная переменная изменится на 1 % относительно заданного уровня х1. Общая формула для расчёта коэффициента эластичности для заданного значения х1факторной переменной х: ![]() Для каждой из разновидностей нелинейных функций средние коэффициенты эластичности рассчитываются по индивидуальным формулам. Для линейной функции вида: yi=?0+?1xi, точечный коэффициент эластичности определяется по формуле: ![]() В знаменателе данного показателя стоит значение линейной функции в точке х1. Для полиномиальной функции второго порядка (параболической функции) вида: ![]() точечный коэффициент эластичности определяется по формуле: ![]() В знаменателе данного показателя стоит значение параболической функции в точке х1. Для показательной функции вида: ![]() точечный коэффициент эластичности определяется по формуле: ![]() Для степенной функции вида: ![]() точечный коэффициент эластичности определяется по формуле: ![]() Докажем данное утверждение. Запишем точечный коэффициент эластичности для степенной функции вида ![]() через первую производную результативной переменной по заданной факторной переменной x1: ![]() Следовательно, Э(x1) = ?1, что и требовалось доказать. Чаще всего коэффициенты эластичности применяются в анализе производственных функций. Однако их расчёт не всегда имеет смысл, потому что в некоторых случаях интерпретация факторных переменных в процентном отношении невозможна или бессмысленна. |
|
||
|
Главная | Контакты | Нашёл ошибку | Прислать материал | Добавить в избранное |
||||
|
|
||||