Онлайн библиотека PLAM.RU


86. Цензурированные результативные переменные

Объясняющая переменная называется цензурированной, если она представляет собой момент наступления интересующего нас события при условии ограниченности по времени продолжительности исследования.

Метод цензурирования переменных или наблюдений впервые возник в биологических и медицинских исследованиях. На современном этапе развития науки метод цензурирования используется в таких областях, как социология, демография и т. д. В частности в экономических исследованиях с помощью метода цензурирования анализируется время «выживания» новых предприятий или новой продукции, поступившей на рынок.

В зависимости от направления процесса цензурирования результативной переменной, выделяют правое и левое цензурирование.

Правым цензурированием результативной переменной называется процесс цензурирования, который характеризуется двумя отличительными чертами:

1) известна точка начала момента цензурирования;

2) известна точка окончания момента цензурирования.

Например, осуществляется проверка 100 предприятий, производящих однотипную продукцию, по определённым параметрам. При этом известны начало и конец проведения проверки.

Левое цензурирование не удовлетворяет вышеуказанным чертам, и применяется в биомедицинских исследованиях.

Однократным цензурирование называется цензурирование, которое наступает в один определённый момент времени.

Например, осуществляется проверка 100 предприятий, производящих однотипную продукцию. Если процесс проверки завершится спустя фиксированный отрезок времени, то использовалось однократное цензурирование, а исследуемые данные были цензурированы один раз.

Многократным цензурированием называется цензурирование, которое наступает в различные моменты времени.

Многократное цензурирование используется в биомедицинских исследованиях.

Цензурированием I типа называется цензурирование, которое применяется в тех ситуациях, когда процесс тестирования завершается в заранее известный момент времени.

Например, при проверке 100 предприятий, производящих однотипную продукцию, процесс заканчивается через фиксированный отрезок времени. В этом случае количество предприятий, не прошедших проверку по установленным критериям, является случайной величиной, а время эксперимента – величиной заранее известной.

Цензурированием II типа называется цензурирование, которое применяется в тех ситуациях, когда процесс тестирования завершается при достижении заданных критериев.

Например, при проверке 100 предприятий процесс тестирования будет закончен тогда, когда 25 предприятий не будут удовлетворять заданным критериям. В данном случае число забракованных элементов известно, а время эксперимента является случайной величиной.

Общий вид линейной модели регрессии с цензурированной результативной переменной:

При цензурировании результативной переменной пользуются методом усечения:

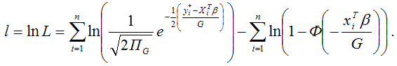
Оценки неизвестных коэффициентов модели регрессии с цензурированными переменными определяются с помощью метода максимума правдоподобия. В данной ситуации минимизируется логарифм функционала максимального правдоподобия вида:

Если дифференцировать данный функционал по вектору неизвестных коэффициентов, то результатом будут оценки максимального правдоподобия

Однако существует вероятность того, что данные оценки не будут удовлетворять свойству несмещённости.

Смещение оценок максимального правдоподобия устраняется путём изменения функционала максимального правдоподобия и приведения его к виду:










Главная | Контакты | Нашёл ошибку | Прислать материал | Добавить в избранное

Все материалы представлены для ознакомления и принадлежат их авторам.